You can learn 45+ pages find leaves of binary tree leetcode explanation in Google Sheet format. TreeNode int x. For Example For the above binary tree the output will be as shown below. Public class TreeNode int val. Check also: leaves and find leaves of binary tree leetcode Collect and remove all leaves repeat until the tree is empty.
Find Leaves of Binary Tree Leetcode Solutions. Root 1null2 Output.

Deepest Leaves Sum Leetcode The LCA of nodes 5 and 1 is 3.
| Topic: The number of nodes in the tree is in the range 0 10 4-100. Deepest Leaves Sum Leetcode Find Leaves Of Binary Tree Leetcode |
| Content: Explanation |
| File Format: Google Sheet |
| File size: 1.5mb |
| Number of Pages: 9+ pages |
| Publication Date: March 2021 |
| Open Deepest Leaves Sum Leetcode |
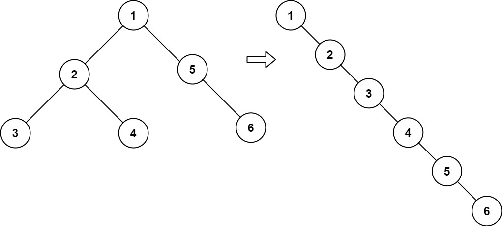
Given binary tree 1 2 3 4 5 Returns 4 5 3 2 1.

Definition for a binary tree node. Collect and remove all leaves repeat until the tree is empty. Collect and remove all leaves repeat until the tree is empty. That is the nodes should be printed in the order they appear from left to right in the given tree. Root 3920nullnull157 Output. 4Continue reading Find Leaves of Binary Tree Author JohnCanessa Posted on July 4 2021 Categories Algorithms Tags binary tree depth first traversal includes test code Java LeetCode.

K Himaanshu Shukla On Leet Code Sum Algorithm Positivity 366 Find Leaves of Binary Tree Given a binary tree collect a trees nodes as if you were doing this.
| Topic: Collect and remove all leaves repeat until the tree is empty. K Himaanshu Shukla On Leet Code Sum Algorithm Positivity Find Leaves Of Binary Tree Leetcode |
| Content: Synopsis |
| File Format: PDF |
| File size: 3mb |
| Number of Pages: 7+ pages |
| Publication Date: March 2021 |
| Open K Himaanshu Shukla On Leet Code Sum Algorithm Positivity |

Invert Binary Tree Iterative Recursive Approach Leetcode Leetcode solutions in C Java Python.
| Topic: Root 3516208nullnull74 p 5 q 4 Output. Invert Binary Tree Iterative Recursive Approach Leetcode Find Leaves Of Binary Tree Leetcode |
| Content: Summary |
| File Format: DOC |
| File size: 1.9mb |
| Number of Pages: 8+ pages |
| Publication Date: August 2021 |
| Open Invert Binary Tree Iterative Recursive Approach Leetcode |

Leaf Similar Trees Leetcode Returns 4 5 3 2 1.
| Topic: Algorithms July 19 2014. Leaf Similar Trees Leetcode Find Leaves Of Binary Tree Leetcode |
| Content: Solution |
| File Format: Google Sheet |
| File size: 2.8mb |
| Number of Pages: 50+ pages |
| Publication Date: February 2017 |
| Open Leaf Similar Trees Leetcode |

Invert Binary Tree Leetcode 29Given a binary tree we need to write a program to print all leaf nodes of the given binary tree from left to right.
| Topic: Root Output. Invert Binary Tree Leetcode Find Leaves Of Binary Tree Leetcode |
| Content: Learning Guide |
| File Format: Google Sheet |
| File size: 2.6mb |
| Number of Pages: 8+ pages |
| Publication Date: September 2020 |
| Open Invert Binary Tree Leetcode |

Find A Corresponding Node Of A Binary Tree In A Clone Of That Tree Leetcode Java 31876 interview 279 interview-practice 72 Site.
| Topic: Solutions to Leetcode Online Judge. Find A Corresponding Node Of A Binary Tree In A Clone Of That Tree Leetcode Find Leaves Of Binary Tree Leetcode |
| Content: Explanation |
| File Format: DOC |
| File size: 1.8mb |
| Number of Pages: 35+ pages |
| Publication Date: August 2019 |
| Open Find A Corresponding Node Of A Binary Tree In A Clone Of That Tree Leetcode |

Flatten Binary Tree To Linked List Leetcode 1 2 3 4 5.
| Topic: Collect and remove all leaves repeat until the tree is empty. Flatten Binary Tree To Linked List Leetcode Find Leaves Of Binary Tree Leetcode |
| Content: Summary |
| File Format: PDF |
| File size: 800kb |
| Number of Pages: 24+ pages |
| Publication Date: February 2017 |
| Open Flatten Binary Tree To Linked List Leetcode |

Binary Tree Coloring Game Leetcode That is the nodes should be printed in the order they appear from left to right in the given tree.
| Topic: Collect and remove all leaves repeat until the tree is empty. Binary Tree Coloring Game Leetcode Find Leaves Of Binary Tree Leetcode |
| Content: Solution |
| File Format: PDF |
| File size: 2.2mb |
| Number of Pages: 20+ pages |
| Publication Date: February 2021 |
| Open Binary Tree Coloring Game Leetcode |

Binary Tree Right Side View Leetcode
| Topic: Binary Tree Right Side View Leetcode Find Leaves Of Binary Tree Leetcode |
| Content: Answer Sheet |
| File Format: Google Sheet |
| File size: 2.3mb |
| Number of Pages: 17+ pages |
| Publication Date: January 2019 |
| Open Binary Tree Right Side View Leetcode |

Maximum Depth Of Binary Tree Leetcode
| Topic: Maximum Depth Of Binary Tree Leetcode Find Leaves Of Binary Tree Leetcode |
| Content: Analysis |
| File Format: PDF |
| File size: 800kb |
| Number of Pages: 27+ pages |
| Publication Date: February 2018 |
| Open Maximum Depth Of Binary Tree Leetcode |

K Himaanshu Shukla On Leet Code Perfect Squares Algorithm Positivity
| Topic: K Himaanshu Shukla On Leet Code Perfect Squares Algorithm Positivity Find Leaves Of Binary Tree Leetcode |
| Content: Answer Sheet |
| File Format: PDF |
| File size: 2.6mb |
| Number of Pages: 20+ pages |
| Publication Date: November 2018 |
| Open K Himaanshu Shukla On Leet Code Perfect Squares Algorithm Positivity |

Aqsuogl8sxzfjm
| Topic: Aqsuogl8sxzfjm Find Leaves Of Binary Tree Leetcode |
| Content: Learning Guide |
| File Format: Google Sheet |
| File size: 6mb |
| Number of Pages: 7+ pages |
| Publication Date: August 2020 |
| Open Aqsuogl8sxzfjm |
Its definitely simple to prepare for find leaves of binary tree leetcode Aqsuogl8sxzfjm binary tree right side view leetcode invert binary tree leetcode deepest leaves sum leetcode invert binary tree iterative recursive approach leetcode binary tree coloring game leetcode k himaanshu shukla on leet code perfect squares algorithm positivity k himaanshu shukla on leet code sum algorithm positivity